h624. 超級家教 YEE篇
標籤 :
通過比率: 3人/ 5人 ( 60%) [非即時]
評分方式:
Tolerant

最近更新 : 2022-07-28 10:26

內容

$\color{black}{\text{l}}\color{red}{\text{inmozhisong}}$有$N$個家教學生(沒錯他就是這麼電),$\color{black}{\text{h}}\color{red}{\text{a._.}}$是他的家教學生的其中之一,也是$\color{black}{\text{l}}\color{red}{\text{inmozhisong}}$的ㄋㄩˇㄆㄥˊㄧㄡˇ。

但是在$\color{black}{\text{l}}\color{red}{\text{inmozhisong}}$的學生裡面,存在著一種「抄抄抄」的風氣,常常會有人互相抄作業,使得$\color{black}{\text{l}}\color{red}{\text{inmozhisong}}$很不高興。

他發現抄的方式有分成兩種:「小抄」及「大抄」。

像是前幾天才被他抓到,$\color{black}{\text{k}}\color{red}{\text{enkenken}}$「大抄」了$\color{black}{\text{b}}\color{red}{\text{ecaido}}$的作業;$\color{black}{\text{r}}\color{red}{\text{1cky}}$「大抄」了$\color{black}{\text{k}}\color{red}{\text{enkenken}}$的作業;且$\color{black}{\text{r}}\color{red}{\text{1cky}}$也「小抄」了$\color{black}{\text{b}}\color{red}{\text{ecaido}}$的作業,$\color{black}{\text{l}}\color{red}{\text{inmozhisong}}$稱他們這樣的抄襲關係為YEE關係(Yokunai yEe rElationship )。

他又發現他的學生們很奇怪,他可以以某種方式將他們編號成$1$到$N$,然後對於編號$i$的學生,他只會抄編號$1$到$i-1$的學生的作業。

聰明的$\color{black}{\text{l}}\color{red}{\text{inmozhisong}}$可以透過筆跡鑑定來找出哪些學生「小抄」了哪些學生的作業,但是「大抄」似乎就不好找了。

他研究了一番之後,發現了「大抄」的規則:若編號$i$的學生「小抄」了編號$j$的學生,且編號$1$到$i-1$的學生都沒有人「小抄」了編號$j$的學生,那編號$i$的學生就是「大抄」了編號$j$的學生。

給你$\color{black}{\text{l}}\color{red}{\text{inmozhisong}}$觀察筆跡後列出的「小抄」名單,請問在這份名單中可以看出有多少的YEE關係存在呢?

輸入說明

輸入的第一行包含一個正整數$N$,代表$\color{black}{\text{l}}\color{red}{\text{inmozhisong}}$有$N$個家教學生。

接著有$N$行,每行包含($M_{i}+1$)個正整數$M_{i},a_{(i,1)},a_{(i,2)},...,a_{(i,M_{i})}$,代表編號$i$的學生「小抄」了編號$a_{(i,1)},a_{(i,2)},...,a_{(i,M_{i})}$的學生的作業。

$1 \leq N \leq 10^5$

$0 \leq M_i \leq i-1$

$\sum M_i \leq 10^6$

$1 \leq a_{(i,j)} \leq i-1$

輸出說明

輸出一個正整數,代表共有多少的YEE關係。

範例輸入 #1
3
0
1 1
2 1 2
範例輸出 #1
1
範例輸入 #2
4
0
0
2 1 2
3 1 2 3
範例輸出 #2
2
測資資訊:
記憶體限制: 512 MB
公開 測資點#0 (2%): 2.0s , <1K
公開 測資點#1 (2%): 2.0s , <1K
公開 測資點#2 (2%): 2.0s , <1K
公開 測資點#3 (2%): 2.0s , <1K
公開 測資點#4 (2%): 2.0s , <1K
公開 測資點#5 (4%): 2.0s , <1K
公開 測資點#6 (4%): 2.0s , <1K
公開 測資點#7 (4%): 2.0s , <1K
公開 測資點#8 (4%): 2.0s , <1K
公開 測資點#9 (4%): 2.0s , <1K
公開 測資點#10 (6%): 2.0s , <1M
公開 測資點#11 (6%): 2.0s , <1M
公開 測資點#12 (6%): 2.0s , <1M
公開 測資點#13 (6%): 2.0s , <1K
公開 測資點#14 (6%): 2.0s , <1M
公開 測資點#15 (8%): 2.0s , <10M
公開 測資點#16 (8%): 2.0s , <10M
公開 測資點#17 (8%): 2.0s , <10M
公開 測資點#18 (8%): 2.0s , <10M
公開 測資點#19 (8%): 2.0s , <10M
提示 :

$10\%:N=3$ 

$20\%:N≤10$ 

$30\%:N≤100$ 

$40\%:N≤10^5$ 

$-------------------------------$

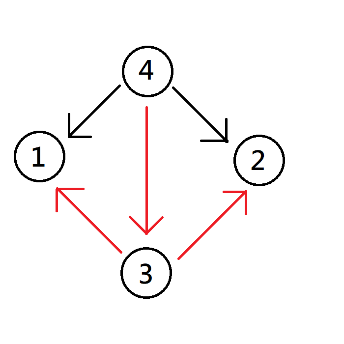
在範例輸入#2中,我們可以以這張圖為示意圖,其中$i$指向$j$代表$i$抄了$j$的作業,並且以顏色來表示小抄(黑色+紅色)及大抄(紅色)。

其中符合YEE關係的的有:

4號大抄3號;3號大抄1號;4號小抄1號。

4號大抄3號;3號大抄2號;4號小抄2號。

$-------------------------------$

h624與h625兩題的輸入測試資料完全相同,若測資太弱會再修改。

標籤:
出處:
臨末人,窩的超人 [管理者: Ststone1687 (Ststone) ]

本題狀況 本題討論 排行

編號 身分 題目 主題 人氣 發表日期
沒有發現任何「解題報告」