b118. TOI2008 5. 彩色區塊
標籤 :
通過比率: 109人/ 138人 ( 79%) [非即時]
評分方式:
Tolerant

最近更新 : 2014-11-01 01:30

內容

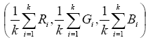
在一個平面上散佈有數個大小不一且色彩不同的矩形區塊;其中,每一個矩形區塊的色彩皆可用色彩三原色:紅、綠、藍(R, G, B)表示。例如紅色為(255,0,0),綠色為(0,255,0),黃色為(255,255,0),而白色為(255,255,255)。倘若這些矩形區塊有互相重疊的現象發生,則此重疊區域的色彩R、G、B值,將分別為所重疊之矩形區塊的R、G、B平均值。亦即,若此重疊區域由k個矩形區塊重疊而成,且此k個矩形區塊之R、G、B值分別為(R1,G1,B1),(R2,G2,B2),…,(Rk,Gk,Bk),則此重疊區域之色彩R、G、B值即為。(註:此平均值之計算方式,採「小數點以下無條件進位」方式計算。)

舉例來說,若平面上有兩個矩形區塊,其中第一個矩形區塊之對角線端點座標分別為(0,0)和(8,7),第二個矩形區塊之對角線端點座標分別為(2,1)和(13,6),則此兩個矩形區塊將產生一個重疊的矩形區域,其對角線端點座標分別為(2,1)和(8,6),如下圖所示。倘若第一個矩形區塊之色彩R、G、B值為(100,100,100),第二個矩形區塊之色彩R、G、B值為(200,200,200),則此重疊的矩形區域之色彩R、G、B值可由上述公式計算得到為(150,150,150)。

輸入說明
輸入檔共計有N+1行的資料輸入。其中,輸入檔的第一行為一
個正整數N,代表平面上共散佈有N個矩形區塊(0<N<100);輸入檔
中接下來的N行,每一行皆有7個以空白隔開的整數:第一和第二
個以及第三和第四個整數分別代表其中一個矩形區塊之對角線端點
的X與Y座標值(0≦X≦1000; 0≦Y≦1000),第五、第六和第七個整
數分別代表此矩形區塊之色彩R、G、B值(0≦R≦255; 0≦G≦255;
0≦B≦255)。注意:在本題中,我們假設每一個矩形區塊在輸入檔中
只會被描述一次,且其對角線端點之X與Y座標值皆為正整數。
輸出說明
請將分佈面積最大之色彩的R、G、B值,依序輸出於螢幕上。
注意:此色彩之分佈區域不一定為連續之區域;另外,每一組測試資
料只會有一種色彩擁有最大之分佈面積。
範例輸入 #1
2 
0 0 8 7 100 100 100 
2 1 13 6 200 200 200 
3 
0 0 6 7 100 110 120 
2 1 5 6 200 210 220 
5 3 10 6 0 10 20 
範例輸出 #1
150 150 150 
100 110 120 
測資資訊:
記憶體限制: 512 MB
公開 測資點#0 (100%): 20.0s , <1M
提示 :
標籤:
出處:
2008 TOI 研習營初選

本題狀況 本題討論 排行

編號 身分 題目 主題 人氣 發表日期
沒有發現任何「解題報告」